|
ESTIMATE WIND SPEED ABOVE YOUR ANEMOMETER
BARANI DESIGN Technologies s.r.o.
|
|
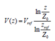
This calculator estimates the wind speed increase above your anemometer or weather station based on characteristics of your local terrain and topography. Results are based on an industry standard approximation of the atmospheric boundary layer based on the formula below.
|
|
INPUTS:
|
Measurement Height of Wind Speed in meters =
|
|
m
|
|
ft
|
|
ads
|
|
Measured Wind Speed [m/s] =
|
|
m/s
|
|
mph
|
|
Roughness Lenth from Table bellow [m] =
|
|
m
|
|
ft
|
|
Height at which to Estimate wind speed [m] =
|
|
m
|
|
ft
|
|
OUTPUT:
|
ANSWER: Estimated wind speed
at desired height above ground [m/s] =
|
|
m/s
|
|
mph
|
|
High accuracy MEASNET class sensors for wind energy and wind resource assessment from BARANI DESIGN Technologies.
|
|
Roughness
Class RC
|
Roughness Length,
Z_0 [m]
|
Energy Index [%]
|
Local Terrain
Type, Landscape,
Topography, Vegetation
|
|
|
|
|
|
|
|
|
|
|
|
|
|
|
|
|
0
|
0.0002
|
100
|
Water
surface.
|
|
|
|
|
|
|
|
|
|
|
|
|
|
|
|
|
0.5
|
0.0024
|
73
|
Completely open terrain with a smooth
surface, such as concrete runways in airports, mowed grass.
|
|
|
|
|
|
|
|
|
|
|
|
|
|
|
|
|
1
|
0.03
|
52
|
Open
agricultural area without fences and hedgerows and very scattered
buildings. Only softly rounded hills.
|
|
|
|
|
|
|
|
|
|
|
|
|
|
|
|
|
1.5
|
0.055
|
45
|
Agricultural
land with some houses and 8
meter tall sheltering hedgerows within a
distance of about 1250 meters.
|
|
|
|
|
|
|
|
|
|
|
|
|
|
|
|
|
2
|
0.1
|
39
|
Agricultural
land with some houses and 8
meter tall sheltering hedgerows within a
distance of about 500 meters.
|
|
|
|
|
|
|
|
|
|
|
|
|
|
|
|
|
2.5
|
0.2
|
31
|
Agricultural
land with many houses, shrubs
and plants, or 8 meters tall sheltering
hedgerows within a distance of about 250
meters.
|
|
|
|
|
|
|
|
|
|
|
|
|
|
|
|
|
3
|
0.4
|
24
|
Villages,
small towns, agricultural land with
many or tall sheltering hedgerows, forests
and very rough and uneven terrain.
|
|
|
|
|
|
|
|
|
|
|
|
|
|
|
|
|
3.5
|
0.8
|
18
|
Larger
cities with tall buildings.
|
|
|
|
|
|
|
|
|
|
|
|
|
|
|
|
|
4
|
1.6
|
13
|
Very large
cities with tall buildings and sky scrapers.
|
|
|
|
|
|
|
|
|
|
|
|
|
|
|
|
|
|
ROUGHNESS CLASSES AND LENGTHS
Roughness classes and roughness lengths are characteristics of the
landscape used to evaluate wind conditions at a potential wind turbine site.
A sea surface has a roughness class of zero.
A high roughness class of 3-4 characterizes landscapes dotted with trees
and buildings.
Concrete runways at airports and road surfaces have a roughness class of 0.5
along with flat and open landscape grazed by cattle and livestock.
The roughness length is defined as the height above ground (Z) in meters at
which the wind speed is theoretically equal to zero.
The Roughness Classes (RCs) are defined in terms of the roughness length in
meters Z_0.
|
|
COPYRIGHT 2012 BARANI DESIGN Technologies s.r.o.
|
|
|